Background:
Chronic Graft-Versus-Host Disease (cGVHD) is a common and potentially fatal complication after allogeneic hematopoietic stem cell transplantation. Beyond corticosteroids, there are multiple potential treatment options, including ibrutinib and ruxolitinib (off-label). Both ibrutinib and ruxolitinib are associated with adverse events (AEs) that may limit adherence or lead to treatment discontinuation. This retrospective analysis of United States administrative claims data examined ibrutinib and ruxolitinib use in cGVHD patients, including persistence on treatment, cost of care, and healthcare resource utilization (HCRU).
Methods:
Adult (≥18 years old) patients were identified in IQVIA™ Health Plan Claims Data (1/2014-9/2019) by ≥1 diagnosis claim for cGVHD by ICD-9 (279.51) and ICD-10 (D89.811) codes. The ibrutinib and ruxolitinib cohorts required ≥1 prescription claim (with the first claim as a proxy for treatment initiation = index) for the drug of interest, and no claims for the other drug (i.e., ruxolitinib or ibrutinib) within 12 months post index. Control cohorts required ≥1 prescription or treatment claim (index) for calcineurin inhibitors, mTOR inhibitors, mycophenolate mofetil, imatinib, methotrexate, etanercept, rituximab, or extracorporeal photopheresis, and no ibrutinib or ruxolitinib claim within 12 months post index. Propensity score matching (PSM) analyses required medical and drug benefit continuous enrollment for ≥6 months prior to index and ≥12 months after. Treatment persistence was assessed by Kaplan-Meier methodology, with a 30-day permissible gap between treatments, and AEs reported within 30 days of discontinuation were reported. In addition to individual AEs, composite measures of infections and lung AEs were assembled from ICD diagnosis codes. PSM of the ibrutinib and ruxolitinib cohorts to controls used age, sex, baseline cost, region, comorbidities, and lung involvement. PSM ensured patients will share similar characteristics, and outcome comparisons between these matched cohorts will not be confounded by the covariates used in the matching process. Costs and HCRU were assessed in the 12-month post index period.
Results:
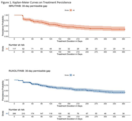
In discontinuation analyses, 117 ibrutinib and 266 ruxolitinib patients were identified. In the year after index, 58/117 (50%) of ibrutinib and 109/266 (41%) of ruxolitinib patients discontinued (Figure 1). Within 30 days of discontinuation, AEs reported in the ibrutinib cohort in ≥10% of patients included (in decreasing order) the infection composite AE (36%), the lung composite AE (34%), dyspnea (28%), kidney failure (24%), edema (16%), atrial fibrillation (12%), thrombocytopenia (12%), and neutropenia (10%). In the ruxolitinib cohort, AEs reported within 30 days of discontinuation and occurring in ≥10% of patients included (in decreasing order) the infection composite AE (45%), the lung composite AE (37%), dyspnea (34%), thrombocytopenia (31%), edema (27%), kidney failure (27%), hypokalemia (15%), neutropenia (14%), thrombosis (13%), and hemorrhage (11%). In analyses of PSM cohorts, 39 ibrutinib patients matched to 110 control patients, and 81 ruxolitinib patients matched to 187 control patients. Annualized costs for the ibrutinib (median $263,658) and ruxolitinib (median $223,564) cohorts were significantly greater than control cohorts (p<0.001). Costs excluding the treatment of interest were greater for ibrutinib (median $82,989 vs. $64,546; p=0.25) and ruxolitinib (median $66,824 vs. $48,673; p=0.033). Ibrutinib patients showed a greater hospitalization rate versus control patients (24/39, 62% vs. 49/110, 45%; p=0.093). Ruxolitinib patients showed increased mean healthcare visits versus control patients (65.6 vs. 52.6; p=0.034).
Conclusions:
In this analysis, ibrutinib and ruxolitinib discontinuation and AEs previously reported to be associated with either ibrutinib or ruxolitinib utilization occurred in a similar temporal window. Ibrutinib and ruxolitinib patients also demonstrated higher treatment costs and increased healthcare visits versus control cGVHD patients. Further research is required to better understand the cost of cGVHD treatment with these medications.
Sponsorship: Kadmon Corporation, LLC
Bachier:Sanofi: Speakers Bureau; AlloVir: Honoraria; CRISPR: Honoraria; Juno Therapeutics, a Bristol-Myers Squibb Company: Honoraria. Eiznhamer:Kadmon Corporation, LLC: Current Employment, Current equity holder in publicly-traded company. Milgroom:Trinity Life Sciences: Current Employment. Lenco:Trinity Life Sciences: Current Employment. Patel:Trinity Life Sciences: Current Employment. Skaar:Trinity Life Sciences: Current Employment.
ruxolitinib for chronic graft versus host disease
Author notes
Asterisk with author names denotes non-ASH members.
